Практикум для начинающих.
От длинноволнового
приёмника прямого усиления к супергетеродину, работающему в УКВ (FM) диапазоне.
1. Радиоприёмник прямого усиления с частотной модуляцией (ЧМ) для линейной радиосвязи.
1. Радиоприёмник прямого усиления с частотной модуляцией (ЧМ) для линейной радиосвязи.
2. Супергетеродин с низкой промежуточной
частотой для диапазона УКВ (FM).
3. Супергетеродин УКВ (FM) диапазона с двойным преобразованием частоты.
Это факультативное
занятие, получить на него допуск могут те, кто прошёл первый тур
и смастерил этот «интересный приёмник длинноволнового диапазона». На всякий случай
приведу его полную схему.
Вот эта схема.
Вот эта схема.
1. Сначала сделаем из этой конструкции приёмник с частотной
модуляцией для линейной связи.
Изменению подвергнется только амплитудный детектор, он
станет частотным детектором, хотя представляет собой разновидность импульсно
счётного детектора, как самого простого, поскольку отсутствуют катушки
индуктивности. Именно эта разновидность частотного детектора является составной
частью микросхем для простых УКВ приёмников с частотной модуляцией, например
микросхема TDA7088Т – это приёмник супергетеродинного типа с низкой
промежуточной частотой рассчитан на приём радиостанций в УКВ диапазоне (до 115
МГц).
Вряд ли кого
заинтересует приёмник прямого усиления, работающий в режиме ЧМ (FM), в диапазоне длинных и сверхдлинных волн. Но
такие приёмники существуют и служат
для линейной связи, которую
необходимо осуществить, имея уже готовые провода, например сетевые. Таким
образом, коттедж или дачный посёлок можно оборудовать громкой или телефонной
связью, используя сетевую проводку. Частотная модуляция, использованная в радиосвязи, имеет лучшую защиту от помех,
по крайней мере, по сравнению с амплитудной модуляцией. Да это видно из
графиков. Принимаемый сигнал сжимается по амплитуде в ограничителе, отсекая
помехи и паразитную амплитудную модуляцию. Сам импульс укорачивается, но его
закон изменения по времени не меняется в процессе приёмо-передачи. Фильтр
нижних частот выделяет звуковую частоту из меняющихся последовательностей
импульсов. Чем чаще частота колебаний импульсов, тем выше уровень звука, чем
реже частота – тем ниже уровень.
| Фото 1. диаграммы ЧМ сигнала и его форма после ограничителя. |
| Фото 2. ЧМ сигнал после дифференциальной цепочки. |
| Фото 3. Восстановление импульсов логичиским элементом. |
На всякий случай я
приведу полную схему линейного приёмника
прямого усиления с частотной модуляцией для диапазона длинных волн.
Для самостоятельного
ознакомления приведу ещё несколько схем линейных приёмников и передатчиков из
книги инженера Р. Граф. Книга называется «Электронные схемы, 1300
примеров», перевод с английского.
Издательство «Мир».1989 год.
Дальность радиосвязи на
этих частотах окажется лучше, чем в УКВ диапазоне при тех же мощностях, а так
же больше дальность при использовании частотной модуляции, последнее свойство вытекает
из особенностей спектров. Недостаток –
это очень громоздкие антенны. Короче
будет, о чём подумать, если окажетесь на необитаемом острове, и решить каким
образом подать сигнал SOS.
В статье «Импульсный блок питания из деталей компьютера» есть подсказка, как из
этого блока питания сделать передатчик на диапазон длинных волн. Творите,
дерзайте, пробуйте и вас услышат, даже на обычный приёмник с АМ модуляцией.
2. От линейного приёмника к супергетеродину
диапазона УКВ (FM)..
Теперь, чтобы
наслаждаться хорошим качеством вещания в диапазонах УКВ (FM), к линейному приёмнику осталось
сделать преобразователь частоты, он займёт место магнитной антенны, при этом
высокочастотная часть линейного приёмника превратится в усилитель промежуточной частоты 175
кГц, с полосой пропускания от 100 до 250 кГц.
Здесь я приведу схему
самого простого преобразователя частоты на транзисторах, только, чтобы его
смогли повторить.
Первый транзистор - смеситель, второй - гетеродин, вот и весь преобразователь частоты. С этим
преобразователем получится простой приёмник УКВ диапазона. Без усилителя
высокой частоты чувствительность приёмника будет около 50 мкВ. Не исключено
влияние антенны, её длина, возможно, будет влиять на частоту настройки, поэтому
в дальнейшем необходимо поставить каскад усилителя высокой частоты, он улучшит
чувствительность и уменьшит влияние антенны. Катушки индуктивности представляют
собой 10 витков провода диаметром 0,3, намотанного на оправке 1,5 мм. Катушка L2 имеет отвод от второго витка.
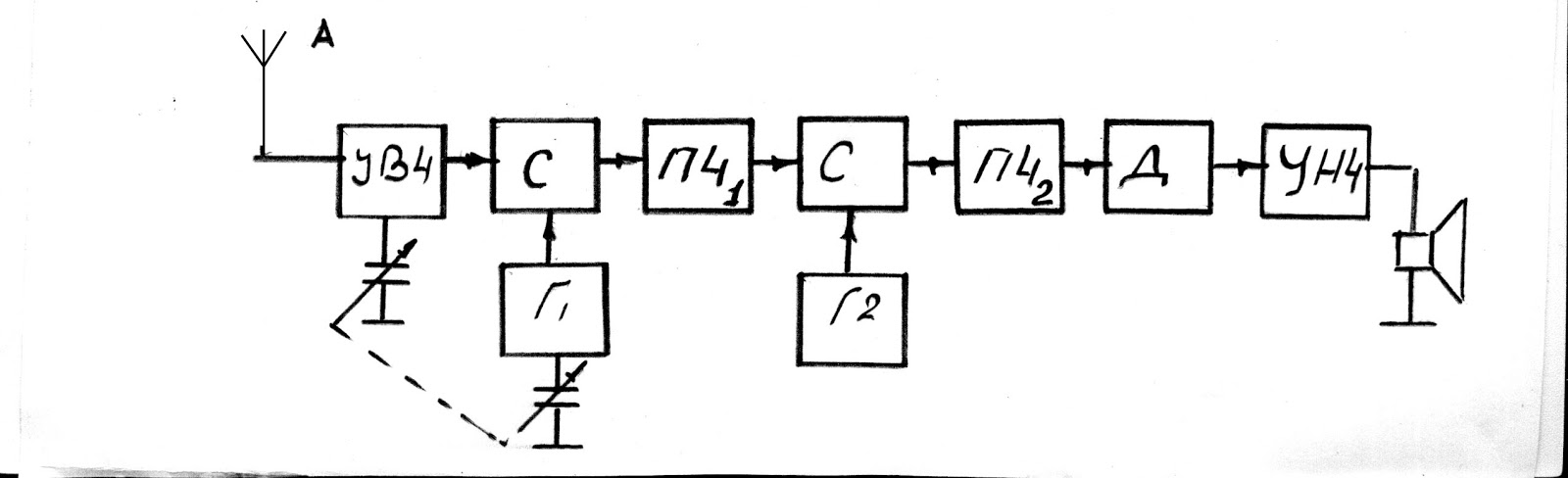
Рис. 5. Структурная схема приёмника с двойным преобразованием частоты.
УВЧ - усилитель высокой частоты, настраивается на частоты 88- 108 МГц.
С - смеситель первого преобразователя частоты.
Г 1- гетеродин, настроен на частоты 98,7 - 118,7 МГц.
ПЧ 1 - усилитель промежуточной частоты 10,7 МГц.
С - смеситель второго преобразователя частоты.
Г 2 гетеродин с кварцевой стабилизацией частоты 10,9 или 11 МГц.
ПЧ 2 - усилитель с низкой промежуточной частотой.
Частотный детектор импульсно-счётного типа.
УНЧ - усилитель низкой частоты
Когда я подключил преобразователь
к приёмнику, раздвигая или сжимая катушку гетеродина, стал настраиваться на радиовещательные
станции, то обнаружил, что одни станции работают превосходно, а другие с
искажениями. Чувствительность что ли не хватает, решил я и начал делать УВЧ. Но с усилителем стало ещё хуже. Наверно приёмник
ловит свой же гетеродин, ведь частота входного сигнала и гетеродина рядом,
разница между ними 175 кГц (промежуточная частота). На частотах порядка 100 МГц
сделать узкополосный контур практически невозможно. Начал экранировать УВЧ,
гетеродин, уменьшать его амплитуду. Могли пройти годы, если бы я не вспомнил,
что все простые приёмники в этом месте работали аналогичным образом, а сделаны
они на однокристальной микросхеме TDA7088Т с низкой промежуточной частотой. В то время ещё никто
не думал, что сегодня в городе Москве, диапазон 88 -108 МГц будет весь заполнен
радиовещательными станциями, расстояние между которыми 400 кГц, таким образом,
получается более 40 передающих частот.
Фото 6. Спектры радиовещательных станций в диапазоне 88 - 108 МГц.
Ближе всего передатчики Останкино ( максимальные амплитуды), меньшие -
улица Казакова, Шаболовка, Балашиха.
Ближе всего передатчики Останкино ( максимальные амплитуды), меньшие -
улица Казакова, Шаболовка, Балашиха.
Недостаток
супергетеродина это наличие дополнительного зеркального канала, отстоящего на
сумму двух промежуточных частот, в нашем случае 350 кГц.
Во всём виноват преобразователь, по-другому он
работать не может. На объяснение потребуются время. Необходимо пройти курс
высшей математики, затем приложить её непосредственно к радиотехнике и к теории
нелинейных электрических цепей. Тогда
станет понятно, почему под воздействием амплитуды гетеродина и входного сигнала
возникают основной канал, он же промежуточный, на частоте (F сигнала + F гетеродина) и зеркальный канал (F сигнала
– F гетеродина). При настройке на станции
будут двигаться сразу два канала приёма с разницей в 350 кГц, то есть 2 станции
будут приниматься одновременно, так как будут попадать как в зеркальный, так и
в промежуточный канал приёма, мешая друг другу и создавая искажения. Только
самая первая радиостанция, в самом начале диапазона, работала превосходно, и
неплохо прослушивался сигнал, если в зеркальный канал попадала радиостанция с
меньшей мощностью, то есть отдалённая. Подавить мешающий канал, отстоящий на
350 кГц колебательными контурами невозможно.
Выход один –
увеличивать промежуточную частоту, чтобы
легче было подавить зеркальную помеху. В «Тюнере FM для приёмника ретро» я использовал
промежуточную частоту 10,7 МГц, это стандартная частота и специально для этой
частоты выпускают пьезокерамические фильтры. Теперь зеркальный канал будет
отстоять на 21,4 МГц, достаточно далеко и помехи, попадающие в него, теперь
легко подавятся колебательными контурами. Перестраиваю гетеродин на 10,7 МГц
выше, путём уменьшения конденсатора контура гетеродина или просто раздвигаю
катушку, а нагрузкой смесителя теперь служит пьезокерамический фильтр. Дело за
УВЧ, усилителем промежуточной частоты (УПЧ), детектором - и приёмник готов. Вот
только детектор на импульсах, из предыдущей схемы, на таких высоких частотах
работать не будет. Но не всё потеряно, конструктор есть конструктор, и такой
детектор можно оставить, если поставить ещё
один преобразователь с кварцевой
стабилизацией частоты в гетеродине,
выбрав частоту кварца равной: 10,7 МГц +
175 кГц = 10, 88 МГц, (точного значения
частоты кварца в продаже может не оказаться, тогда нужно выбрать ближайшее
верхнее по частоте значение, и на столько же измениться промежуточная частота).
3. Супергетеродин с двойным преобразованием частоты.
3. Супергетеродин с двойным преобразованием частоты.
Таким образом,
получится приёмник с двойным преобразованием частоты, где за селекцию бороться
будут сразу два промежуточных канала (ПЧ1 и ПЧ2), причём зеркальный канал первого преобразователя будет подавляться
резонансным усилителем высокой частоты (УВЧ), а зеркальный канал второго преобразователя будет подавляться
узкополосными пьезокерамическими фильтрами
первого промежуточного канала (ПЧ1), настроенного на частоту 10,7 МГц.
| Рис. 5. |
Рис. 5. Структурная схема приёмника с двойным преобразованием частоты.
УВЧ - усилитель высокой частоты, настраивается на частоты 88- 108 МГц.
С - смеситель первого преобразователя частоты.
Г 1- гетеродин, настроен на частоты 98,7 - 118,7 МГц.
ПЧ 1 - усилитель промежуточной частоты 10,7 МГц.
С - смеситель второго преобразователя частоты.
Г 2 гетеродин с кварцевой стабилизацией частоты 10,9 или 11 МГц.
ПЧ 2 - усилитель с низкой промежуточной частотой.
Частотный детектор импульсно-счётного типа.
УНЧ - усилитель низкой частоты
Усилитель высокой частоты для УКВ приёмника. УВЧ.
Каскодная схема включения
транзисторов.
Часто на практике
применяю именно такое включение транзисторов, где первый транзистор включен по
схеме с общим эмиттером, а второй с общей базой. Классическая схема, обладает
большим и устойчивым коэффициентом усиления. Маленькая проходная ёмкость второго транзистора хорошо развязывает взаимовлияние выходных параметров схемы на
входные, а это особенно важно, когда усилительный каскад селективный, то есть
содержит колебательные контура. Сама настройка такой системы заметно
упрощается, а влияние окружающей среды не оказывает сильного воздействия на
настроенную резонансную характеристику. Из этого каскада я не пытаюсь выжать
всё возможное усиление, оно может оказаться более 20 дБ. Здесь важно, чтобы
коэффициент усиления был устойчивым, поэтому его умышленно уменьшаю до 15дБ.
Небольшой резистор в эмиттерной цепи, определяющий отрицательную обратную связь,
неполное включение катушки индуктивности контура коллектора – все эти
мероприятия не только уменьшают коэффициент усиления, делая его устойчивым, но
и уменьшают общие шумы усилителя и
проникновения гетеродина в антенну. Для уменьшения паразитных емкостей монтажа,
которые могут способствовать самовозбуждения усилителя важно электронные компоненты
по входу транзистора (базы), располагать как можно дальше от электронных
компонентов по выходу транзистора (коллектора). Для простоты конструкцию
вытягивают в линейку, от входа к выходу, разделяя каскады перегородками, если
вытянуть в линейку невозможно. В старых ретро конструкциях перегородки
разделяли транзистор, его базу от коллектора. Настройка аналогична, что и в
статье «Тюнер FM для приёмника ретро». Для простоты я также не использую
варикапы, а настраиваюсь на определённую часть диапазона УКВ.
Всегда уважаю свободу
выбора, поэтому провожу ещё одну схему.
Неплохие результаты
получились
с УВЧ, выполненным на полевом
транзисторе,
здесь так же можно использовать как связанные, так и
одиночные контура. Коэффициент усиления около 15 дБ.
| Рис 7. УВЧ на полевом транзисторе. |
| Фото 8. УВЧ на полевом транзисторе. |
Усилитель первой промежуточной частоты. (ПЧ1).
Проще не видел схем. Промежуточная
частота выбрана 10,7 МГц. Частотную характеристику задают два пьезокерамических
фильтра. По уровню 3 дБ - полоса пропускания получилась 240 кГц. Обычно выбираю
фильтры с самой широкой полосой, обеспечивая запас при уходе гетеродина. При
желании фильтры можно подобрать, для получения минимальной неравномерности
частотной характеристики.
Транзистор
компенсирует потери фильтров и добавляет дополнительное усиление в общем тракте
приёмника, необходимое для получения хорошей чувствительности. Усиление каскада
сильно зависит от питания, время подумать о стабилизаторе напряжения. Один
фильтр с усилителем даёт усиление не менее 5 раз. Резистором со звёздочкой
можно регулировать общее усиление тракта.
| Рис.8. ПЧ -10,7 МГц. |
| Фото 9. ПЧ - 10,7 МГц. |
Неплохо
зарекомендовал себя усилитель промежуточной частоты на операционном усилителе.
Такая схема выглядит серьёзнее, поскольку обладает более стабильными
параметрами, не меняющимися как от изменения напряжения, так и от температуры,
обладает отличной линейностью, хорошо развязывает вход от выхода. В части 1 на этой микросхеме была проба амплитудного детектора для приёмника
прямого усиления.
Этот гетеродин принадлежит второму преобразователю и его
частота выше первой промежуточной частоты 10,7
МГц на величину второй промежуточной частоты, равной 175 кГц.
Особенностью данного блока, который имеет частоты ниже принимаемого частотного
диапазона, является возможность попадания его высших гармоник в полосу приёма,
которые создадут поражённые точки,
уменьшат чувствительность в этих местах, и ухудшат динамический диапазон,
создавая биения с несущей частотой приёма.
Этот блок, а также
входные цепи должны иметь хорошую экранировку. Пожалуй, я сделал всё возможное,
добившись подавления высших гармоник на 65 дБ.
L 1,
L2 – контур,
настроенный на первую гармонику кварца.
L 3, L4 – фильтр нижних частот, с частотой среза выше 11 МГц.
Этому фильтру
помогают два фильтра пробки, выполненные на этих же индуктивностях и
подавляющие вторую и третью гармоники кварцевого гетеродина.
| Рис. 10. Гетеродин 11 МГц. |
| Фото 10. Гетеродин. |
Смеситель.
Этому гетеродину нужен смеситель и тогда второй
преобразователь промежуточной частоты скомплектован. Поскольку гетеродин на
кварце получился достаточно хорошо, я наверно каждую деталь подобрал, получив,
таким образом, неплохое подавление высших гармоник. Вот и со смесителем решил
постараться и сделать его на полевом транзисторе, всё лучше, чем на биполярном,
тем более УВЧ на этом транзисторе уже собирал, а сама схема смесителя от УВЧ
мало чем отличается, если часть деталей исключить, то добавляется только один
резистор.
Усиливает такой смеситель в три раза, что
составляет 10 дБ.
Чтобы проверить такой
смеситель, а подал на один вход сигнал с гетеродина (Г 2), таким образом,
получился второй преобразователь. С измерительного генератора подаю частоту
10,7 МГц, а с выхода снимаю разностный сигнал, равный 10,9 – 10,7 = 0,2 МГц.
Всегда думал и предполагал,
что смесителю на полевом транзисторе нужна большая амплитуда гетеродина, а он у
меня всего 100 мВ он выдавал. Повинуясь теории, первоначально на выход
гетеродина подключил усилитель на ОУ, аналогично, что усилитель ПЧ1, ограничив
усиление по его входу последовательным резистором в 3,6 кОм. Гетеродин стал
выдавать 1 вольт, правда подавление высших гармоник ухудшилось и стало 45 дБ. Поэкспериментировав,
пришёл к выводу, что усилитель не нужен, 100 мВ вполне достаточно.
Осталось соединить все квадратики и
радиоприёмник готов!
Автомобиль всё дальше и дальше уходил в восточном направлении от Москвы.После Богородска, что в 40 км от окружной автомагистрали, трасса стала спускаться в пойму реки Клязьмы. Громкость звучания уменьшилась щелчком – это автомобильный приёмник настроился на местный ретранслятор УКВ (FM) диапазона, разбавляя интервал между музыкальными треками блоком областной рекламы. После 100 км пути, когда еловый заснеженный лес вплотную подошёл к дороге, моя любимая музыкальная композиция стала теряться в шумах, я стал давить на кнопки других радиостанций – картина была аналогичной, и только на подъёме дороги приёмник оживал, но чем дальше, тем реже и реже было его пробуждение. Не менялся только зимний пейзаж за окном, красивый лес будет сопровождать меня ещё долго. Я включил средние волны, уверенно принимаемая радиостанция, сетовала на запоздалую весну…
Теперь я понял,
почему на мой факультатив, посвященный приёмнику УКВ, никто не заходит. Время
заканчивать. Возвращаюсь к всеволновому приёмнику.
Продолжение второй части факультатива.
Я вернулся и соединил все квадратики!
И не поверил ушам своим. Как можно описать
звучание? Динамичный, сочный, живой, естественный, предельный, разборчивый,
мягкий… Короче я заметил разницу в звучании своего приёмника в сравнении с профессиональным РПУ,
аналогичным по выходным характеристикам (двойное преобразование, выходная
мощность, частотная характеристика).
В природе среднестатистическое человеческое
ухо различает разницу в уровнях звучания около 6 дБ, что составляет 2 раза.
Заранее предвидя, что мне никто не поверит, подключил приборы.
На графиках записаны
фрагменты музыкальных произведений с радиостанции
«Радио Джаз». Особенность
этого канала – преобладание композиций
с ограниченным количеством музыкальных
инструментов, что позволяет выделить каждый и изучить их путём сравнения.
Первоначально по одному тональному сигналу с генератора на приёмниках был
установлен одинаковый выходной уровень. На всех фотографиях, приведено два
одновременно записавших во времени звучание музыкального инструмента и на
всех -
нижний график - звучание самодельного радиоприёмника.
Ну, ведь я же говорил, что свой
приёмник будет звучать лучше!
Даже невооружённым глазом видно, что при одинаковом
статическом сигнале размах больше на нижних графиках, а, следовательно, больше
динамический диапазон. Все мелкие детали чётко вырисовываются, и в результате
легко отделим каждый инструмент на слух. Отсутствует зашумленность самого
звука. Сам синусоидальный сигнал более ровный, поэтому коэффициент нелинейных
искажений минимален.
Музыка вырвалась на
свободу! Освободите музыку! Научитесь её
слушать!
Все эти положительные
характеристики получились благодаря импульсно-счётному детектору. Кроме того, его линейная характеристика не
ограничивается колебательными контурами, способными расстраиваться от
температуры и его полоса пропускания будет определяться полосой пропускания
полосовых фильтров первой промежуточной частоты. То есть, если суммарная полоса
пьезокерамических фильтров составляет 260 кГц, то приёмник пропустит без
искажений девиацию частоты +/- 130 кГц, почти в 2 раза больше спектра
радиовещательных передатчиков.
| Фото 11. Макетная плата части приёмника. |
Несколько слов о полной
схеме приёмника.
Саму схему, как и
сам приёмник можно модернизировать до бесконечности, в этом и заключается
творчество. Поэтому, чтобы не быть эгоистом, оставляю возможность для
самостоятельной работы.
Полная схема получится,
если соединить вместе последнюю
схему со схемой приёмника прямого
усиления для линейной связи, исключив
магнитную антенну.
В испытаниях
участвовал усилитель низкой частоты, выполненный на микросхеме МС34119. Его
схема включения дана во второй части.
В первом
преобразователе у меня вышел из строя полевой транзистор в смесителе, когда я
«выжимал из него сок», поэтому оставил старую схему, чуть доработав гетеродин,
добившись ослабления гармоник 35 дБ. Настройка осуществляется изменением
напряжения на варикапе.
Кварц во второй
гетеродин я поставил на 11 МГц, у
меня такой был, а, следовательно, вторая промежуточная частота получилась 400 кГц, что составило потерю по
коэффициенту передачи на 6 дБ, поскольку вторая ПЧ с ростом частоты резко теряет
усиление, зато помеха по зеркальному каналу приёма при более высокой
частоте подавляется лучше. Попытка
поставить ОУ с высокой граничной частотой не увенчалась успехом, уменьшился
динамический диапазон. Это связано с
возбуждением ОУ на СВЧ, всё будет зависеть от качества монтажа.
Чувствительность
получилась 5 мкВ при соотношении сигнала к шуму - 20 дБ. Но это не предел.
Реально чувствительность можно довести до 1 мкВ, если добавить резонансный
каскад в первое ПЧ.
Я уже говорил –
модернизировать можно до бесконечности.
Макет приёмника.
В макете приёмника все сигнальные проводники должны быть как
можно короче. В качестве заземляющих площадок я использовал лужёную медную
ленту.
Провода, соединяющие питание должны припаиваться
непосредственно к блокировочным конденсаторам.
В прошедший выходной
мне сильно повезло, потому что я проводил испытание своего радиоприёмника на
даче. Предшествующие дожди сильно подняли траву и рокот газонокосилок соседей,
да и моей тоже, скрывали громкость моего приёмника, ведь выбранной музыкальной программой
на всех не угодишь. В приёмник я добавил 5-ти ватный УНЧ на микросхеме TDA2003 и загрузил на
самодельную звуковую колонку, а УНЧ для наушников оставил, зарезервировав его
под линейный выход в надежде, что в дальнейшем подключу его к ламповому
усилителю мощности. Испытания прошли успешно, главное, что я остался доволен.
За день температура воздуха изменилась на 7 градусов, но настройка осталась на
месте. Тайна устойчивой работы гетеродина спрятана в статье «Высокая стабильность бескаркасной катушки». Качество принимаемых радиостанций отличное,
полученная чувствительность вполне устраивает меня. Этот приёмник я пока так и
оставлю в виде макета, пусть пока поработает, а то дачный импортный музыкальный
центр «CROWN» совсем
уже никуда не годится. С нетерпением жду следующих выходных слушать под
шашлычок музыкальные программы в стиле ретро.
| Фото 13. Лампу поставил для куража. |
А полная
схема приёмника на сегодня выглядит так.
Напомню, что эта
схема содержит приёмник прямого усиления
для линейной связи, который является составной частью супергетеродина с двойным преобразованием
частоты, отдельный усилитель низкой частоты с линейным выходом и усилитель
мощности.
Думаю, что реплики
типа:
- Полный отстой!
Или.
- Да здесь всё на
одной микросхеме можно сделать!
Не исключены. От себя
скажу, что можно просто купить готовый приёмник.
Или сделать на одной
микросхеме.
.jpeg)



Приветствую, В.Ю.!
ОтветитьУдалитьДавненько не заглядывал к Вам, хотя в 2013 году все таки след в виде комментария вроде оставлял...
А к вашим итогам 2012 г. еще хотел добавить - Ваш блог все таки в развитии: участников (даже фото имеются!) аж целых четыре! Раньше вроде 1-2 наблюдалось... И то! Хочется верить, что и я помог в этом росте, хотя и пользовался бессовестно (но с вашего разрешения) материалами Вашими для своего сайта.
А сейчас пишу, так как показалось, что на грустной нотке часть третья Практикума закончилась...
А причины думается такие (что не заходят, не читают...). Мне кажется, что сложновато (и не только третья часть, а и первая) изложены. По первой части - как пример, последние веяния Полякова о "свободной энергии" (громкоговорящий прием без источников питания - по моему и книжечка уже выпущена им). А у Вас к детектору и УВЧ, и УЗЧ + батарейки... Как то не так, как по мне - так сложновато, для детектора. Для СВ-ДВ - длинный провод, заземление, диод и наушники - так наше поколение начинало путь в радиолюбительство.
Ну а третья часть - сложно (условно, конечно) даже для меня, хотя двойное преобразование в радиоприеме на своем сайте www.smham.ucoz.ru я давно возвел в определяющие темы. Я понимаю - Вы профессионал, возможно отсюда такие экзотические микросхемы, картинки с современного осциллографа,...вроде по согласованию фильтров в схемах не нашел ни слова, хотя похоже, что оно выполнено правильно... А по сложности - вот гляньте сайт моего автора А.Белоконя, из скромности не на своем, а на его сайте я пытался(-юсь) соорудить приемник: http://dspview.com/viewtopic.php?f=11&t=103&start=10
По секрету скажу, что он уже и в метале имеется, но до конца еще далеко - БП, компоновка, корпус, наладка...
Вот такими микросхемами (и не только) пользуются радиолюбители (хотя, конечно - это в большинстве любители КВ-УКВ радиосвязи, с позывными...).
А я бы переходя к всеволновому приемнику все таки ретроподход взял на вооружение. Из разряда приемников прямого усиления. Ведь, чем меньше преобразований, тем качественнее прием во всех смыслах. А современная элементная база дает возможность сейчас с минимумом деталей получить агромадное усиление!
Все это не в порядке критики - Вы правильно подметили отвечая А.Б., что Вы для себя пишите, для своего развития, и одного читателя Вам достаточно. Нечто "когда я итожу, то что прожил..."
И это правильно. Я пишу - значит я читаю Ваш блог. Это уже ОДИН. Жду "Нью-Москву" на все диапазоны!
Здравствуйте, Василий Васильевич!
ОтветитьУдалитьА ЧАСТЬ 3 или тур ещё не закончились! Потому как я объединил квадратики и радовался как ребёнок! Свой приёмник всегда звучит лучше, а тем более собранный своими руками! А звук действительно отличается своей динамичностью и не сравним с бюджетными музыкальными центрами, работающими в моно режиме. Возможно, всё дело в частотном детекторе. Это в будущем всё будет описано, тем более слабое звено осталось. Это первый преобразователь, наспех собранный.
Не соглашусь насчёт сложности. Если я собрал, то и другие соберут - верю в молодёжь.
Эта тема - «Самодельный радиоконструктор. Часть1» берёт начало от статей:
«Детекторный приёмник из сетевого удлинителя и тазика для варенья»,
«Высокоомный телефон для детекторного приёмника».
В них про «длинный провод, заземление, диод»- всё написано, но ведь не читают…
Кстати, «тазик» на другом сайте увидел, не на радиолюбительском – решил, что статья доступна для большинства, значит пришло время усложняться.
Тем более сложности никакой не вижу. Собирается приёмник прямого усиления длинных волн, добавляются к нему пара транзисторов, и приёмник превращается в супергетеродин с УКВ диапазоном (Часть 3). Одни и те же функциональные квадратики приводятся в разных исполнениях, если экзотика труднодоступна.
Иностранные микросхемы дешевле отечественных в 10 раз, я это уже говорил.
Германиевые транзисторы и диоды уже более 20 лет сняты с производства.
По поводу двойного преобразования я буду спорить с вами в будущей статье.
Да не надо спорить В.Ю. Я с Вами заранее согласен - потому что сам знаю, что даже самый простенький самодельный аппаратик (не обязат. приемник) - приносит его творцу истинную, ни с чем не сравнимую радость! А мнения по поводу двойного преобразования (а еще и "вверх") - разнополярные. И тазик я "исходный" тоже уже до вас где-то видел. Но у Вас лучше, потому что у Вас он Ваш... А Вы - один из авторов материалов на моем сайте. И про цены на импорт знаю...
ОтветитьУдалитьПишу, раз написали где-то в моем профиле, мол сайт СМР прикреплен к вашему блогу, или наоборот... Да и не важно все это.
Дедо-человеческие взаимоотношения важнее. Так мне хочется на всю эту блого-сайтовую историю смотреть.
Посему - творите на здоровье. А я еще комментариев подброшу, времени хватило бы...
Здравствуйте, ВВК.
ОтветитьУдалитьИзвините, что забыл Вам сказать спасибо за оказанную помощь советами ещё в первом послании.
Вы вселяете оптимизм и желание творить.
Спасибо за комментарии.
Следим за сайтом и развитием его и автора!
ОтветитьУдалитьТак держать!!!
27.03.2018г.
Здравствуйте, В.Ю.! Мне хотелось бы у вас уточнить.
ОтветитьУдалитьПересчитывая резонансный контур L1+L2 и С=120 пф (рис. 16) я не получил ожидаемую частоту 11 МГц (получил - 8.86 МГц).
Я чего-то не учёл или так задумано?
С Уважением, Сергей.
Извините.
ОтветитьУдалитьВместо 11 МГц - 10.9 МГц, а вместо 8.86 - 8.38 МГц.
С Уважением, Сергей.
Здравствуйте, Сергей.
УдалитьСкорее всего, это ближайший номинал, который был в наличии. Сам конденсатор подстроечный. Его номинал будет сильно зависеть от самой катушки. Я сталкивался с тем, что катушки от разных производителей при одинаковой индуктивности имели разную резонансную частоту, а при настройке в районе 10 МГц номинал конденсатора мог меняться в пределах 30 пФ. Дело в том, что катушки имеют ещё разную межвитковую ёмкость. С другой стороны, настраивая контур ниже основного резонанса, сильнее проявляется подавление высших гармоник.
Здравствуйте, В.Ю.!
ОтветитьУдалитьБлагодарю Вас за подробный ответ.
С Уважением, Сергей.
Degen 106 - для зон неуверенного приема, уделывает по чуйке Вашу схему приемника. На деген 106 удавалось принимать дальние станции в УКВ вещающие с выше 3000 км. Вот так то!!!
ОтветитьУдалитьСамодельный приёмник всегда работает лучше! Удавалось - величина непостоянная.
УдалитьВаша статья - это хороший труд, для нас классная находка!!!
ОтветитьУдалитьЗдравствуйте В.Ю! У меня вопрос по BF1212. Может ли этот двузатворник работать как генератор, в гетеродине скажем. Или они только под МШУ УВЧ заточены. Спасибо
ОтветитьУдалитьЗдравствуйте. Но у меня они работают в качестве усилителя высокой частоты и смесителя. Несмотря на то, что пост написан 7 лет назад, схема со смесителем работает до сих пор в этом приёмнике (рис.23).
УдалитьА почему не могут работать в других режимам? Осталось только попробовать.
Но, похоже, эти транзисторы уже сняты с производства.
Дело в том что, ни где ненашел схем с использованием этих транзисторов, кроме как у вас на сайте. Народ массово применял BF998 во всех конструкциях, а про эти тишина, несмотря на то что BF11, BF12xx более современные. А мне просто досталось пару десятков штук их, вот и хотелось поинтересоваться может кто применял их в ГУН. То что сняты с производства, да, много чего интересного поснимали, ATшки тоже.
УдалитьПо поводу АТшек. В мох постах есть схемы на малошумящих полевых транзисторах типа ATF54143 (один затвор). Их тоже сняли с производства, но есть (1/1) аналог SAV-541+.
УдалитьЗдравствуйте, Вячеслав Юрьевич!
ОтветитьУдалитьРасскажите, пожалуйста, как Вы расчитываете схему каскода? Есть ли у Вас упрощенная методика, которой достаточно для любителя? Интересуют даже не столько формулы, сколько методика, алгоритм расчета. Я пробовал парочкой способов расчитывать, вроде, что-то получается, но делитель в базах транзисторов со мной совсем не хочет дружить и смещение у меня куда-то убегает... На отдельных каскадах с ОЭ расчеты дают вполне рабочий результат, поэтому я и грешу на базовый делитель.
С уважением, Влад.
Здравствуйте, Влад. Я не пользуюсь расчётом, а применяю готовые схемы, и стараюсь выбрать самые простые, с минимальным обвесом. Схемотехника каскода на рис. 12 была в старом журнале «Радио». Делитель каждого транзистора R = 33 кОм, отвечает за его ток. Напряжение питания делится поровну между транзисторами (Т1к-Т2э - Vп/2). Этот же резистор (такое его включение) - является звеном отрицательной обратной связи (ООС). Чем глубже ООС (резистор меньшего номинала), тем меньше усиление каскада, но тем стабильнее его параметры от температуры и выше устойчивость к самовозбуждению, меньший коэффициент шума, выше линейность частотной характеристики, меньше нелинейные искажения.
УдалитьРезистор в цепи эмиттера тоже задействован в ООС (чем он больше, тем сильнее ООС и её последствия) . Его задача – повышение устойчивости схемы (неспособность к самовозбуждению), а при использовании СВЧ транзисторов это играет важную роль. Здесь просто чисто практический подход.
Каскод обладает большим усилением. Но здесь (рис. 12), его задача развязать колебательный контур коллекторной нагрузки от входного контура (уменьшить их взаимовлияние). Это обеспечивается меньшей проходной ёмкостью второго транзистора, включённого с общей базой. А при устойчивом (меньшем) усилении обеспечить приемлемый коэффициент шума.
Кстати эти транзисторы уже сняты с производства и в настоящий момент в открытом доступе BFR181WH (коэффициент шума 0,9).
Спасибо большое, Вячеслав Юрьевич, за столь быстрый и развернутый ответ!
ОтветитьУдалитьА Вы можете, как практик, ответить мне на такой вопрос: обязательно ли делить напряжение питания поровну между транзисторами? Ведь транзистор ОЭ имеет усиление близкое к 1 и ему столь высокое напряжение питания ни к чему. Или дьявол скрывается в мелочах и я что-то упускаю из виду и потому не понимаю?
Каскод – каскад из двух транзисторов, где нижний транзистор Т1 (рис. 12) включён с общим эмиттером, а верхний с общей базой. Транзистор с общим эмиттером обладает усилением, как по току, так и по напряжению. Транзистор с общей базой обладает усилением только по напряжению. В совокупности каскод обладает усилением, как по току, так и по напряжению.
УдалитьЕсли на практике между транзисторами отсутствует половина напряжения питания, значит ошибка в монтаже или неисправен один из транзисторов.
Усилением по напряжению = 0,99… обладает схема с общим коллектором (ОК). На практике такая схема называется эмиттерным повторителем. Достоинство – большое входное сопротивление и низкое выходное сопротивление. Здесь усиление только по току.
Вячеслав Юрьевич, возможно, я не совсем правильно сформулировал свою мысль... В литературе указывается, что нижний транзистор в каскодной схеме работает в режиме короткого замыкания на выходе и поэтому его коэффициент усиления близок к единице.
УдалитьНасчет половины напряжения питания между транзисторами - есть ли смысл так подбирать режимы транзисторов, чтобы напряжение в этой точке было не Uп/2, а, например, 1Вольт? Так как размах сигнала на коллекторе нижнего транзистора будет примерно таким же маленьким, как и на его базе (а на входе каскодного усилителя десятки милливольт), то может, остальные 4 Вольта (Uп-1) можно отдать верхнему транзистору - раз он и дает усиление по напряжению? Заодно и нижние полуволны сигнала на коллекторе верхнего транзистора не будут ограничиваться напряжением Uп/2 на его же эмиттере.
Да, первый транзистор Т1 (рис.12) загружен на каскад с общей базой, который имеет маленькое входное сопротивление, а поэтому коэффициент усиления Т1 по напряжению минимален, но большой коэффициент усиления по току.
УдалитьНет смысла, тем более на уровнях приёма слабого сигнала. Нелинейные искажения, возникшие в первом транзисторе при низком напряжении питании, усилятся вторым транзистором.
Практика - основа познания. Нужен НЧ генератор и осциллограф. Соберите каскод на низкую частоту (100 - 200 кГц). Вместо контура - резистор 470 Ом. Увеличьте блокировочные конденсаторы на порядок. Развяжите транзисторы (коллектор – эмиттер) разделительным конденсатором 0,1 мкф. Задавайте каждому транзистору разные напряжения питания. Меняйте переменными резисторами базового делителя смещения на транзисторах. Я это уже проходил, теперь Ваша очередь.
Спасибо большое Вам, Вячеслав Юрьевич, за Ваше терпение и толковые объяснения.
УдалитьБуду пробовать, как Вы и сказали. Практика - критерий истины!